研究方向
RESEARCH
随着全球变暖,异常气候加剧,内燃机车的碳排放以及有害气体氮氧化物排放受到更多关注。采用直接数值模拟(DNS)和大涡模拟(LES)结合详细的燃料化学反应机理和输运特性对反应活性控制下的压缩点火燃烧(RCCI)进行研究,包括不同活性燃料的相互作用对点火和火焰传播的影响。直接数值模拟的目标是揭示RCCI点火过程的基本过程。 LES工作的目标是验证不同燃烧模型(均质搅拌反应器,输运概率密度模型以及小火焰模型)对RCCI 喷雾燃烧过程预测的准确度。然后基于单燃料RCCI的概念,对于催化重整和低温重温下的RCCI模式进行了研究。研究的基本问题有:1)不同重整程序下燃料对自点火和火焰传播的影响。2)不同燃油直喷时刻对后续点火以及污染物生成的影响。2)不同温度压力下对点火和火焰传播的影响。

图1 计算域示意图

图2 模拟与试验对比

图3 三种燃烧模态下的组分和温度瞬态分布

图4 放热率分布演化图


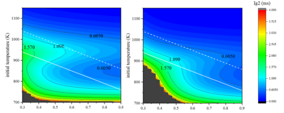
图5 不同初始条件下放热率随时间的变化图

图6 不同当量比和温度下,正庚烷低温点火延迟分布。右图为加入低温氧化产物后的分布