
本期,我们向大家介绍两个评价温差发电器(Thermoelectric generator, TEG)中热电材料的新参数,功率因子和效率因子。

简单来说,温差发电器是一种利用热电材料的赛贝克效应直接将热能转换为电能的装置,其无污染、体积小且没有运动部件,可用于内燃机余热回收、航天工业、海洋温差能利用等方面。低热电转换效率是目前限制其广泛应用的最重要原因之一。为解决这一问题,除采用优化结构设计和强化传热等方式外,新型热电材料的开发也是至关重要的。一般来说,温差发电器中用到的热电材料应具有高塞贝克系数、高电导率和低导热系数。然而,在热电材料开发过程这三个物性参数很难独立控制,因此需要一个参数评价热电材料的综合性能。

温差发电器示意图
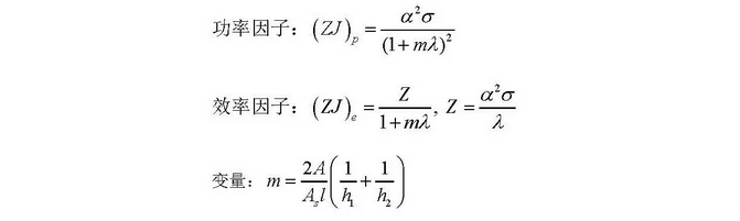
为得到这一参数,我们首先推导热电材料物性参数与温差发电器输出功率和热电转换效率之间的关系。在传统推导过程中,往往假定温差发电器热端与冷端温度恒定,但这一假设条件与实际情况有很大出入,这是由于在外界环境与温差发电器之间往往会存在一定的传热热阻。因此,我们这里假定外界环境中的热源与冷源温度恒定,并在其与温差发电器之间定义两个恒定的对流换热系数。据此,我们就可以推出下面两个反映热电材料物性参数与温差发电器输出功率和热电转换效率的功率因子和效率因子:

有趣的是,传统温差发电器冷热端温度恒定的假设对应的正是两端换热系数无穷大的情况,此时,m=0,上述功率因子和效率因子的表达式就简化为现在评价热电材料时常用的功率因数(power factor)和品质因数(figure of merit)。因此,可以这么说,功率因子和效率因子是传统功率因数和品质因数在考虑温差发电器冷热端实际换热情况后的拓展。我们接下来可以证明,品质因数仅适用于恒定温度情况,在考虑冷热端对流换热之后,热电材料中导热系数的作用则会被大大低估。

输出功率和热电转换效率
我们选用三种热电材料,其塞贝克系数、电导率和导热系数各不相同,但品质因数相同。利用三维数值模型对温差发电器输出功率和热电转换效率进行模拟计算,结果如上图所示。在左图中可以看到,恒壁温情况下(图中实心图例),三种热电材料组成的温差发电器的最大效率基本相同。但是,考虑两端对流换热之后(图中空心图例),三种材料对应温差发电器效率则大不相同,且导热系数越低,效率越高。这就表明,在考虑对流换热之后,品质因数在评价热电材料时低估了导热系数的影响。从右图则可以看到,具有相同功率因子的三种热电材料组成的温差发电器,其最大输出功率基本相同,而具有相同效率因子的三种热电材料组成的温差发电器,其最大热电转换效率则基本相同。这就说明,使用功率因子和效率因子可以有效评价温差发电器中热电材料的潜能。

不仅如此,功率因子和效率因子还可以用于设计多级复合式温差发电器。由于现有热电材料大多只能在很窄的温度区间内发挥优异性能,选择合适的热电材料进行搭配组成多级复合式温差发电器也是提升性能的重要途径之一。其中设计两种或多种材料的分段比例问题则成为重中之重。接下来我们就以两段式温差发电器为例,简单介绍一下利用功率因子和效率因子计算最佳分段比例的方法。

不同温度下功率因子和效率因子
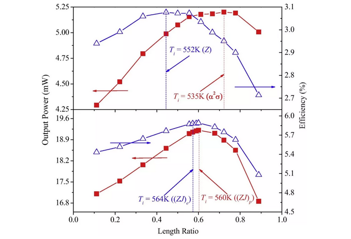
首先我们绘制出两种热电材料的功率因子和效率因子随温度变化的曲线图,可以看出,在低于交点温度时,材料1性能优于材料2,高于交点温度时,材料1性能低于材料2。这种情况下,我们让材料1在低温区工作,材料2在高温区工作,当两者材料的分段比例使交界面温度恰好等于上图交点温度时,分段式温差发电器性能达到最优。这一点可以通过下图结果得到证明,在交界面温度等于功率因子确定的交点温度时,分段式温差发电器的最大输出功率能够取得最大值,而在交界面温度等于效率因子确定的交点温度时,分段式温差发电器的最大热电转换效率则能够取得最大值。

分段式温差发电器输出功率和效率
基于这一点,再加上一些简单的传热学公式推导,我们就可以推导出多级复合式温差发电器的最佳分段比例值了。
以上就是本期的全部内容,感谢阅读。如果您对上述评价温差发电器热电材料的功率因子和效率因子感兴趣,欢迎随时联系我们。

了解更多推导过程及结果讨论,请参阅原文:
1. Guobin Zhang, Kui Jiao, ZhiqiangNiu, Hai Diao, Qing Du, Hua Tian, Gequn Shu. Power and efficiency factors forcomprehensive evaluation of thermoelectric generator materials[J]. InternationalJournal of Heat and Mass Transfer, 2016, 93: 1034-1037.
2. Guobin Zhang, Linhao Fan,Zhiqiang Niu, Kui Jiao, Hai Diao, Qing Du, Gequn Shu. A comprehensivedesign method for segmented thermoelectric generator[J]. Energy Conversion andManagement, 2015, 106: 510-519.